人的一生中有三分之一的时间是在睡眠中度过,没有哪个时代的人比当代人更为睡眠焦虑了,失眠、熬夜、嗜睡带来的各种吓人的研究结论刷爆朋友圈。传统观点曾认为,每天睡足8小时才是最健康的睡眠周期,却殊不知,嗜睡或许也对身体有害。
近日,来自日本国立癌症中心的科研人员在JAMA Netw Open杂志发表了一篇题为Association of Sleep Duration With All- and Major-Cause Mortality Among Adults in Japan, China, Singapore, and Korea的文章,首次为成人的睡眠时间提出了可参考性的建议,指出7小时是最佳睡眠时间,死亡风险最低。

doi:10.1001/jamanetworkopen.2021.22837
8小时睡眠论害了不少人,或可增加死亡风险
这项研究为亚洲最大规模的关于睡眠时间与死亡率之间的研究,由亚洲30多个队列组成的联盟Asia Cohort Consortium(ACC)主导,共纳入322721名成年人,平均年龄为54.5岁,分别来自中国、日本、新加坡和韩国,在对其进行长达约14年的随访后,发现在男性中有19419例死亡发生,在女性中有13768例死亡发生。
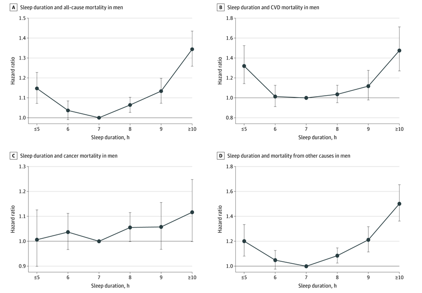
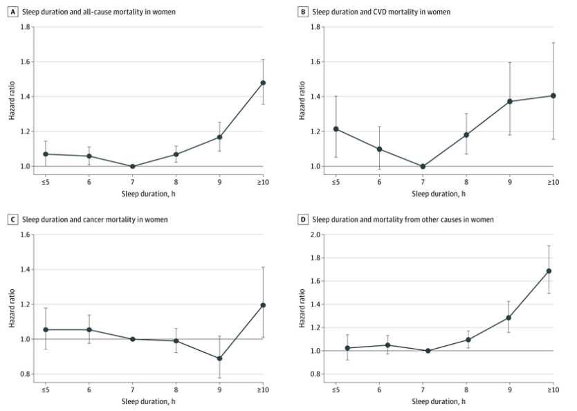
随后研究人员对受试者自我报告的睡眠时间与全因死亡率、心血管疾病死亡率、癌症死亡率和其他原因死亡率的关系进行深入的分析后,发现7 小时为每日最佳睡眠时间,与7小时睡眠时间相比,其他睡眠时间都会增加死亡风险。
在进一步的试验中,研究人员基于卡方检验(chi-square test)法、分类变量(categorical variable)与连续变量的单因素方差分析法对特定原因的死亡率进行校正。数据显示,不论男女,睡眠时间与全因死亡风险均呈现出这一J型关系。其中睡眠7小时时,全因死亡风险最低,且值得一提的是,在睡眠时间≥10小时的受试者中,男性和女性与死亡率之间的相关性最强。

男性睡眠持续时间与死亡风险之间的关联

女性睡眠持续时间与死亡风险之间的关联
不仅如此,研究还发现,当男性睡眠时间≤5小时和≥10小时,女性睡眠时间≤5小时、8小时、9小时、≥10小时时,会增加心血管疾病(CVD)引起的死亡风险;当男性睡眠时间8小时、9小时和≥10小时,女性睡眠时间≥10小时时,会增加癌症引起的死亡风险;当当男性睡眠时间≤5小时、8小时、9小时、≥10小时,女性睡眠时间8小时、9小时和≥10小时,会增加其他疾病引起的死亡风险。
事实上,此前就有研究发现了睡眠与死亡风险的相关性,2018年,一项由英国基尔大学(University of Keele)的科研人员领衔的研究发表在著名心血管领域杂志JAHA上,研究指出,每晚超过7-8个小时的睡眠可能与死亡以及心血管疾病风险的增加有关,且睡眠质量也很重要。

DOI:10.1161/JAHA.118.008552
改善睡眠的Tips!
几十年来,人们的睡眠时间以及睡眠质量似乎一直在走下坡路,在中国,近3亿人存在睡眠障碍,因此相信你一定很苦恼,我究竟应该怎么睡?
今年2月,北京工业大学的科研团队领衔的一项研究发现,卧室环境和睡眠质量息息相关,人体在睡前喜欢23°C的环境,而在睡眠状态下更偏好26°C,不仅如此,低水平CO2浓度下睡得更舒服。

https://doi.org/10.1111/ina.12809
总而言之,这项最新的研究为我们今后制定合理的睡眠时间提供了一定的依据, 若能在合适温度和CO2浓度的环境中保持7小时的高质量睡眠,或许有益于保持健康、延长寿命。
